化学发光免疫分析法(chemiluminesecence immunoassay,CLIA)最早出现于上个世纪70 年代中期,因光信号持续时间短、灵敏度较低,并未将其运用于临床检测。 随后国内外研究发现,辣根过氧化物酶、吖啶酯、金刚烷等衍生物和纳米颗粒能增强CLIA 发光强度,随之该方法被发展为一种先进且应用广泛的超微量活性检测方法。CLIA 具有灵敏度高、特异性强、线性范围广、操作简单、成本消耗低、取样少和高通量等特点,现如今在医学领域已经成为重要的检测方法。 化学发光免疫分析法(CLIA)是通过测定特定时刻化学发光的总发光量来确定对应化合物含量的一种分析方法,也是目前较为成熟的免疫分析方法之一,具有高特异性、高灵敏性、试剂稳定以及有限期长、适用面广、所需设备简单、检测范围广、自动化程度高等优点。与现有的酶免法、荧光法检测技术相对比,CLIA 的精准度高出2个或3个数量级。CLIA不需要其他光源,能够高效防止光散射产生的影响,达到更高的信噪比。现今,CLIA多为全自动类型,只需操作者将样品放置仪器上,40min内仪器就能完成定量检测,减少了实验操作不当导至的假阳性结果出现的概率。化学发光免疫分析法常用的发光系统主要为鲁米诺化学发光系统、KMnO4 化学发光系统、光泽精化学发光系统、过氧化草酸酯化学发光系统、四价铈[Ce(IV)]化学发光系统、联吡啶钌(II)发光系统等。这些发光系统均在临床研究、食品安全、兽药残留及环境监测等方面得到了广泛的应用。化学发光免疫分析包含两个部分, 即免疫反应系统和化学发光分析系统。免疫分析是利用抗原与抗体特异性结合形成抗原-抗体复合物而建立起来的一种高选择性的分析方法, 根据其检测方法可分为非标记免疫分析和标记免疫分析。非标记免疫分析是利用抗原与抗体结合形成抗原-抗体复合物后, 其理化性质发生改变,出现肉眼可见的沉淀、凝集等现象, 利用这些现象来检测待检物。标记免疫分析是在不影响抗原、抗体生物活性的基础上将标记物质标记在抗原或抗体上, 然后进行免疫反应形成抗原-抗体复合物, 再对标记物质进行检测, 从而间接检测待检物的方法。目前常用的标记物有放射性的125I , 非放射性的碱性磷酸酶、辣根过氧化物酶, 镧系稀土元素等。化学发光是化学物质在特定化学反应中产生的光辐射。通过高能中间体的分解在化学反应中激发单态分子的形成, 分子被激发后是不稳定的, 它要释放出多余的能量而回到基态, 其中部分的能量以发光形式释放出来。因此, 任何一个化学发光反应包括两个过程:激发和发光过程。①化学反应释放足够的能量, 此过程存在产能效率φc ;②发光物质接收能量, 发生化学结构的改变, 形成激发态中间体, 要求发光物质接收能量的效率比较高(能量传递效率:φe);③激发态中间体通过光的形式释放多余的能量回到基态。激发态回到基态的方式很多, 如磷光,放热等, 所以激发态中间体的荧光效率φf 也需要比较高。整个过程的化学发光效率φcL =φc ×φe ×φf 。
 根据化学发光体系中发光剂的不同,可将该方法大致分为三类:直接化学发光免疫分析法、化学发光酶免疫分析法和电化学发光免疫分析法。直接化学发光免疫分析法是利用化学发光标记物对抗体或抗原标记的一种新型检测手段。目前常用的化学发光标记物有鲁米诺类和吖啶酯类,鲁米诺类的标记物不宜直接进行标记,需利用某些化合物对鲁米诺的增强或抑制作用进行直接测定。直接化学发光免疫分析法具有以下优势:背景发光值低、发光反应中干扰因素少、易与蛋白质联结且光子产率不变及标记物稳定。但是,该方法的灵敏度比酶促反应稍低,且发光的持续时间较短。因此,检测过程中对小分子抗原的检测多采用竞争方法,而对大分子抗原的检测多采用夹心法,目前在免疫测定中得到了广泛的应用。化学发光酶免疫分析法(chemiluminescent enzyme immunoassay, CLEIA)是一种通过抗原或抗体上标记的酶与发光底物相互作用产生光子信号的检测方法。通常辣根过氧化物酶(horseradish peroxidase, HRP)与碱性磷酸酶(alkaline phosphatase, AP)是CLEIA方法中最常见的两种酶标记物。它们分别有相对应的发光底物,HRP 发光底物常选择鲁米诺而AP 则选用AMPPD。CLEIA 的优点为:灵敏度高,酶标记抗原或抗体结合稳定,发光持续时间长,便于记录和测定;缺点在于反应速度慢,表面积低、酶容纳量小。但随着纳米材料和催化剂的应用,扩大了固相载体的表面容积,从而提高蛋白与酶的结合量,实现信号放大,提高了CLEIA 的灵敏度和检测效率。实际检测中,CLEIA适合对大量复杂样品进行检测,但也存在样品需求量大、试剂成本高等问题。
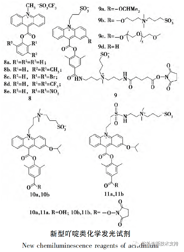
 电化学发光免疫分析法(electrochemiluminescence immunoassay, ECLIA)是基于化学环境中光发射原理来检测和分析不同的蛋白质和生物分子,通过化学发光剂三联吡啶钌[Ru(byp)2+3]标记抗原或抗体,同时以三丙胺(tripropylamine, TPA)作为电子供体,经过电场中的电子传递作用,使其产生化学发光的检测方法。ECLIA 具有许多优点,与化学发光(chemiluminescence,CL)法相比,ECLIA 更具选择性,可以通过改变电极电位来选择性地控制激发态的产生;与光致发光(photoluminescence,PL)法相比,ECLIA 不需要光源,能有效降低光散射及发光杂质等问题;与电化学方法相比,ECLIA 具有较高的选择性和较少的电极结垢等优势[8]。而在临床检测中,由于电化学活性材料的干扰以及被吸附蛋白膜污染等因素,也会影响到检测结果。ECLIA 非常适用于小剂量样品的检测,不容易受样品中存在的溶血或浑浊沉淀物的干扰,易实现自动化。鲁米诺(Luminol)其结构简单、易于合成、性质稳定、无毒、环境友好、水溶性好,是应用最多的化学发光试剂之一。CAS号: 521-31-3 鲁米诺Luminol鲁米诺的化学发光性质最早于1928年被 Albrechi HO发现,他发现鲁米诺在碱性溶液中,加入过氧化氢可观测到微弱的发光现象,在此基础上加入适当的氧化剂和催化剂,可以大大提高其化学发光强度。过氧化氢酶、辣根过氧化酶、铁盐、锰盐、过渡金属离子、氨基配合物等均可以作为催化剂或氧化剂增强鲁米诺的化学发光,因此,根据化学发光检测分析的原理,由于上述物质影响了鲁米诺的化学发光速率,并进而影响其化学发光强度,使得鲁米诺可以用于上述物质的分析检测。鲁米诺、异鲁米诺(lsolumino1)及其衍生物是最早在CLIA 中使用的一种常用的化学发光物质。鲁米诺类物质的发光为氧化反应发光。在碱性溶液中, 鲁米诺可被许多氧化剂氧化而发光, 其中H2O2 最为常用。早期的鲁米诺体系主要用于无机物、有机生物小分子的测定, 但由于标记后发光强度降低而使其灵敏度受到影响。20 世纪80 年代, 人们发现发光体系中加入某些酚类及其衍生物、胺类及衍生物及苯基硼酸衍生物对该体系的发光有显著作用, 在这些称作增强剂的物质作用下, 鲁米诺的发光强度可被提高1000倍, 并且氧化剂与发光剂等单独作用时出现的“本底”发光显著降低, 发光时间也得到延长。这些增强剂的使用使得该体系在蛋白、核酸分析领域得到广泛的应用。鲁米诺的化学发光机理通常被认为已经被研究得比较透彻,但实际上,其被氧化中间产物还没有得到统一的结论,只是确定了其最终发光的物质为氨基邻苯二甲酸盐离子。鲁米诺的化学发光机理如图所示。常见的鲁米诺发光试剂包括有异鲁米诺异硫氰酸酯(ILITC)、N-( 4-氨基丁基) -N-乙基异鲁米诺(ABEI )以及4,5-二氨基邻苯二酰肼(DPH)等已经应用于很多领域。因为含有鲁米诺部分的发光试剂发光强度低而且合成困难,所以相关新型衍生物的报道不太多。而近几年该类新型衍生物发光试剂的研究趋势主要有两种:一种是在原有发光试剂的基础上进行相关的结构改造,以发现更优越的发光试剂。Palmioli 以ABEI 为基础进行结构改造,合成了一个呈大环内酯结构的新型异鲁米诺发光试剂ABEI 大环内酯(1) 。对比一般的等价试剂,发光试剂1具有更好的稳定性和反应性,而且合成路线简单高效。另一种是将不同的芳香环引入鲁米诺的氨基位置上,增加其化学发光强度进而获得新型鲁米诺衍生物。Deshmukh合成了含有羟苯基苯并咪唑部分的鲁米诺衍生物(系列化合物2、3) ,研究者另两篇文章又报道了含有苯并吡嗪或单偶氮单元的新型化合物(系列化合物4-7)。同时还研究了这些衍生物在过氧化氢、氰铁化钾及氢氧化钠溶液里面的化学发光特性,发现新型衍生物优于标准的鲁米诺和异鲁米诺体系。预测这些衍生物很有可能会是化学发光探针的候选者。4.2 吖啶酯类(actidinium ester)吖啶酯是一类重要的化学发光试剂,具有较高的量子产率,其化学发光效率较高,通常是鲁米诺的五倍或五倍以上。除此之外,吖啶酯的化学发光过程反应迅速,本底低,在氢氧化钠和过氧化氢的存在下即可发光。在氧化反应过程中,结合物被分解,不影响游离吖啶酯的发光;另外,吖啶酯类化学发光试剂具有较好的稳定性,易于储存。吖啶类是一种量子产率非常高的化学发光试剂,其分子结构至少由两部分组成: 发光基团(emitter) 和离去基团(leaving group) 。应用最广泛的是吖啶酯和吖啶磺酰胺,图中R、R'、R″为烷基、烷氧基及芳基等其他取代基; X、X'、X″为偶联基团,用于偶联抗原或抗体,并增加化合物溶解性取代基 R1、R2、R′、R′′的吸电子或供电子性以及它们的体积会影响过氧化氢阴离子HO2−亲核进攻吖啶酯9位羰基的能力,进一步影响吖啶酯的化学发光动力学,量子产率和其它方面的性质。取代基 R1的电性是化学发光动力学的决定性因素,例如离去基团上无取代基时(R1=H),化学发光过程持续约 1秒左右;由 2′5-二甲基,或 2′6 二甲基取代时,化学发光过程持续约 3 秒左右,被延缓;当离去基团上由 2′6 二溴取代时化学发光过程被加快,约 0.7 秒完成;当离去基团上有 2′6 二硝基或三氟甲基取代时,由于吸电子性更强,发光过程更快,约0.5 秒完成。取代基的位置还会影响吖啶酯的水解稳定性,2′6 位取代基由于引起位阻效应而使吖啶酯稳定性增强,可以预见体积较大的取代基引起较强的空间位阻效应,而使吖啶酯的稳定性增强。据目前文献报道,取代基 R3的电性通过共轭系统的传递,会影响 9 位羰基的电性,同 R1一样,会影响吖啶酯发光动力学和发光效率,并且 R3取代基和吖啶环共轭系统的扩大,引起化学发光波长量子产率的增强,而且引起化学发光波长的红移,蓝移。在常见的酶底物中,芳香酯酶的底物硝基酚酯,萘酚和硝基苯乙烯类似的基团可直接作为吖啶酯的离去基团。是在碱性条件下,过氧化氢与吖啶的9位碳原子发生加成,加成产物在碱性条件下形成的过氧负离子再亲核进攻羰基碳,离去基团离去并进一步形成不稳定的四元环中间体,开环后形成激发态的吖啶酮,其返回到基态的过程中释放出光子。吖啶-9-羧酸苯酚酯的离去基团进行修饰,合成了几个吖啶酯衍生物(系列化合物8) 。对比模型化合物8a,这4个衍生物均表现出很好的发光效率; 另外4个化合物中,仅CF3取代的吖啶酯化学发光量子产率比模型化合物低,而Br、NO2、CH3取代的吖啶发光量子产率都比模型化合物高。近几年,合成新型的、具有特殊性能的吖啶酯类化学发光试剂成为国内外学者的研究重点,而新型的吖啶磺酰胺类发现很少。吖啶酯量子产率高;发光效率高,作为化学发光标记物发光体系简单,自然本底低,受干扰少,信噪比较高;用作化学发光标记物时,除具有上述优点外还易于偶联、标记简单且稳定性好、标记后对其发光性能影响少,是目前临床上应用最广泛的一种化学发光试剂。
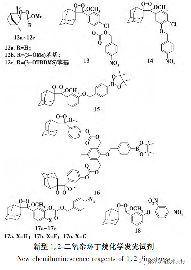
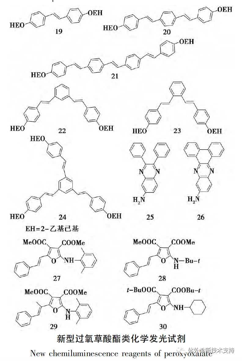
 过氧草酸酯是以多氯水杨酸酯与草酰氯反应生成的草酸酯化合物,其化学发光机制可归结于化学致电子交换发光过程。此外,化学发光的基态产物是一类具有单重态或三重态的二氯乙烷分子。过氧草酸酯由于反应效率高及发光度强,现已被广泛应用于各种化学发光冷光源。过氧草酸酯类化学发光体系由草酸酯、氧化剂( 过氧化氢) 和荧光剂组成,是一种间接化学发光体系。常见的发光试剂有双[2,4,6-三氯苯基]草酸酯( TCPO) 、双[2,4-二硝基苯基]草酸酯( TNPO) 等。发光机理为反应生成的中间产物将化学能传递给荧光团使之激发到激发态,激发态的荧光团跃迁到基态过程中发射出一定波长的光。该发光体系的应用主要有两个方面: 一方面由于其发光量子产率高、寿命长、强度大、颜色可调等特点,适用于各种化学光源的研制; 另一方面,由于其灵敏度高、易于合成及所用仪器设备简单等优点,在化学发光分析中得到了广泛的应用。过氧草酸酯类常见的发光体系由TCPO、过氧化氢和不同的荧光剂组成。近几年,发现合成不同的新型荧光团( 对苯乙烯、苯并吡嗪衍生物、呋喃衍生物等) ,与TCPO 和过氧化氢组成发光体系成为发展趋势,并且广泛应用于不同领域,而新型的过氧草酸酯化合物研究比较少。1,2-二氧杂环丁烷类是一种化学引发电子变换发光(CIEEL) 试剂。它是四元杂环体系,而四元环存在张力能,因而在反应过程中能够释放出大量能量以满足化学发光反应所需的能量,所以是一类高效的发光试剂。其结构通式如下图所示,其中T 通常为环烷烃金刚烷,起稳定过氧环的作用; X 为烷氧基,作用是增加其水溶性; Y 是发光基团; Z 是Y 的保护基团。从1969 年Kopecky 和Mumford首次合成这类化合物以来,目前已经制备了100 多种二氧杂环丁烷类化合物。其中,具有代表性的是3-( 2'-螺旋金刚烷酮) -4-甲氧基-4( 3″-磷氧酰苯基) -1,2-二氧杂环丁烷( AMPPD) 。1,2-二氧杂环丁烷类的化学发光机理 ( 以AMPPD 为例) 为:AMPPD 在碱性磷酸酶( ALP) 的催化下,形成一个极不稳定的中间体m-AMPD; m-AMPD 迅速分解为一分子的金刚烷酮和一分子激发态间氧阴离子苯甲酸甲酯( m-MOB- ) ; 激发态的m-MOB-返回基态的过程中发射光子。
1,2-二氧杂环丁烷类的发光研究已经获得了广泛应用。像AMPPD 试剂采用微粒子化学发光技术,用最新磁性微粒包被抗体,用碱性磷酸酶( ALP) 标记抗原( 抗体) 。经过抗原抗体反应,碱性磷酸酶结合在微粒子上( 碱性磷酸酶的结合量同病人血清中的待测物质成比例) ,反应管两边有磁场,磁性微粒包被的抗原抗体结合物被吸附在管子两边,其他游离部分被抽吸掉。最后加入发光底物,通过光电倍增管检测反应的发光强度。此外,CSPD 和CDP-Star 也是继AMPPD 之后合成出的化学发光试剂,其性能更优于AMPPD。 新型1,2-二氧杂环丁烷类化学发光试剂由于1,2-二氧杂环丁烷的化学发光非常高效,近年来,各种新型的二氧杂环丁烷发光试剂成为研究的焦点。1,2-二氧杂环丁烷一般含有金刚烷酮基团,而Ciscato 合成了含葑基的1,2-二氧杂环丁烷(12) ,研究发现含葑基的1,2-二氧杂环丁烷同含金刚烷酮的1,2-二氧杂环丁烷化学发光性质相似。随着纳米颗粒在新型化学发光免疫分析法中的迅速应用,使其检测效率得到有效提升。因纳米颗粒具有量子尺寸效应、表面效应、小尺寸效应、量子隧道效应等优点而被广泛地用于 CLIA 领域。磁性纳米颗粒(magnetic nanoparticles,MNPs)是一种在纳米尺度上的磁性物质,粒子大小一般为10~100 nm,由多种金属元素和磁性氧化物构成,其主要核心为氧化铁。MNPs 具备良好的超顺磁性,较高的比表面积、生物相容性和低毒性,且可修饰功能基因与多种生物功能分子结合。Liang建立了基于金涂层磁性纳米颗粒(Au-MNPs)的直接竞争性化学发光免疫分析法,用于氯霉素(CAP)的快速分析,相比ELISA 更灵敏。目前,MNPs 在癌症治疗诊断学、生物传感、催化、农业和环境等专业领域得到了广泛应用。金纳米颗粒(gold nanoparticles,AuNPs)是尺寸为 1~100 nm 的微小金颗粒。AuNPs 具备独特的光电和物理化学特性,化学性质稳定,生物相溶性良好,表面易与生物分子结合。自2005 年以来,AuNPs 被认为是液相CL 反应中的潜在催化剂,可用于细胞检测、药物合成及光化学治疗方面。 化学发光免疫分析法具备特异性强、灵敏度高、操作方法简单、通量高及自动化程度高等优点,在人类医学领域应用非常广泛,现已逐渐成为替代酶免法、放射免疫法以及荧光法检测技术的主要趋势。但它在动物生产领域检测上的应用仍处于发展阶段,检测过程中存在仪器故障率较高、试剂稳定性差、本底高等缺点。随着磁性纳米颗粒、金纳米颗粒等新型材料的广泛应用,以及与高效液相色谱、流动注射、微流控芯片等新型技术的联用,加速了该方法在动物生产领域检测中的应用。同时随着磁珠分离技术、单克隆技术以及化学发光能量转移的均匀免疫分析技术的迅速发展,CLIA 将向便捷式、高通量、全自动方向前进。
|