立即注册找回密码

QQ登录

只需一步,快速开始

微信登录

微信扫一扫,快速登录

搜索

说说“准确度”、“正确度”、“精密度”

2026-2-24 11:32| 编辑: 沙糖桔| 查看: 192| 评论: 0|来源: 小桔灯网|作者:贠楚

摘要: 对于分析方法开发者与使用者,厘清这三个概念具有重要实践意义

在分析化学、计量学及各类检测领域,评价测量结果的质量离不开三个核心概念:准确度、正确度与精密度。它们既是方法验证的基石,也是数据可信度的保障。然而,这三个术语常被混淆或误用,影响了分析结论的科学性与可比性。本文旨在系统梳理三者的定义与法规依据,阐明其量化指标,并厘清它们之间的逻辑关系与本质区别。

一、 定义溯源与法规要求

1. 精密度

定义:精密度是指在规定的条件下,对同一或类似被测对象进行多次独立测量时,所得结果之间相互一致的程度。它描述的是测量结果的离散性重现性,完全由随机误差决定。随机误差是不可预测、无规律的微小波动,源于仪器噪声、环境微变、操作人员读数差异等。

法规依据

ISO 5725-1:1994《测量方法与结果的准确度(正确度与精密度)》国际标准,将精密度明确定义为“在规定条件下,独立测试结果之间的一致程度”。

ICH Q2(R1) 药品注册技术要求中,将“精密度”列为关键验证参数,要求考察重复性、中间精密度和重现性三个层次。

中国国家标准GB/T 6379.1-2004等同采用ISO 5725,提供了精密度评估的标准化方法。

2. 正确度

定义:正确度是指大量重复测量结果的平均值与可接受的参考值(通常视为真值的最佳估计)之间的接近程度。它描述的是测量结果的系统偏差,完全由系统误差决定。系统误差是恒定的或按确定规律变化的误差,源于方法原理缺陷、仪器校准偏移、试剂不纯、操作习惯等。

法规依据

ISO 5725-1首次明确区分“正确度”与“精密度”,将其定义为“测试结果的平均值与可接受参考值之间的一致程度”。

VIM(国际计量学词汇) 将正确度列为计量学基本术语,强调其反映系统误差的特性。

中国JJF 1001-2011《通用计量术语及定义》 采纳了国际定义,推动正确度概念在计量领域的规范使用。

3. 准确度

定义:准确度是指被测量的测得值与其真值之间的一致程度。它是一个综合性、定性的概念,由正确度与精密度共同决定。高准确度意味着测量结果既接近真值(高正确度),又具有很好的重现性(高精密度)。

法规依据

ISO 5725-1明确指出:准确度是“测试结果与可接受参考值之间的一致程度”,是正确度与精密度的总和。

ICH Q2(R1) 要求验证“准确度”,通常通过回收率实验来评估,实质上同时考察了正确度(回收率均值)和精密度(重复性)。

GB/T 27417-2017《合格评定 化学分析方法确认和验证指南》强调准确度验证必须包含正确度和精密度两方面证据。

定义演进的意义
传统上“准确度”一词常被笼统使用。ISO标准体系的明确区分具有重要科学意义:将“准确度”这个总目标,分解为“正确度”(消除系统误差)和“精密度”(控制随机误差)两个可分别评估和改进的具体维度,使方法优化更具针对性。

二、 衡量三者的核心指标

1. 精密度的衡量指标

精密度通常用离散程度的统计量来量化:

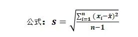
标准偏差:最基础的绝对度量,反映数据集的离散程度。

相对标准偏差:标准偏差与平均值的比值,以百分比表示,便于不同水平数据间的比较。

RSD(%) = (s / ) × 100%

精密度的层级(根据ICH等指南):

重复性:在同一实验室、同一操作者、同一仪器、短时间内的精密度,用重复性标准偏差衡量。

中间精密度:在同一实验室,但不同时间、不同操作者、不同仪器等变化条件下的精密度。

重现性:在不同实验室之间的精密度,用再现性标准偏差衡量。

2. 正确度的衡量指标

正确度通过测量结果与参考值的系统偏差来量化:

偏倚:单次测量值或测量平均值与参考值之间的差值。

偏倚 = 测量值(或平均值) - 参考值

回收率:在分析化学中最常用的实用指标。通过向样品中加入已知量标准品,计算测得量与加入量的百分比。

回收率(%) = (测得量 / 加入量) × 100%

通常要求在不同浓度水平验证,平均回收率应在预定范围内(如95%-105%)。

与有证标准物质比较:CRM是具有认定值及不确定度的权威标准物质。测定CRM并计算其测定平均值与认定值的偏倚,是评估正确度的黄金标准

t检验:通过统计检验判断测量平均值与参考值之间是否存在显著性差异。若无显著差异,则表明方法在统计学上无显著偏倚。

3. 准确度的衡量实践

由于准确度是综合性概念,其实验评估必须同时提供正确度和精密度的证据

完整的验证报告应包含:

1. 正确度证据:各浓度水平的平均回收率及范围,或与CRM比较的偏倚值。

2. 精密度证据:与上述正确度评估在同一组实验中获得的RSD值。

示例表述:“在浓度为10 ng/mL的水平,6次独立测定的平均回收率为98.2%(范围96.5%-101.3%),RSD为1.8%,表明方法在该浓度下准确度良好”。

三、 三者之间的逻辑联系与本质区别

理解三者关系的一个经典类比是射击打靶

精密度 = 弹孔的密集程度(是否打在同一处)。

正确度 = 平均弹着点与靶心的距离(是否有固定偏向)。

准确度 = 弹孔整体上是否既密集又接近靶心(总体效果)。

联系:层次递进、缺一不可

1. 精密度是基础:没有一定的精密度(结果高度离散),谈论正确度(平均值是否接近真值)毫无意义。精密度差意味着随机误差大,结果本身不可靠。

2. 正确度是关键方向:在保证精密度(控制随机误差)的基础上,必须追求正确度(消除系统误差),才能使测量平均值指向真值。

3. 准确度是最终目标:准确度是正确度与精密度的乘积而非简单加和。只有当方法同时具备可接受的精密度和正确度时,才能说它具有高准确度。用数学语言近似表达:**准确度 ≈ f(正确度) × g(精密度)**,任何一项低下都会导至准确度不达标。准确度调和了正确度和精密度,是方法“两者俱佳,不可偏废”的综合评价目标。

区别:维度不同、根源各异

特征维度
精密度
正确度
准确度
核心描述
测量结果的离散程度(内部一致性)
测量平均值的偏离程度(与真值距离)
测量结果的总体可靠程度(综合性评价)
哲学问题
“测得多稳?”
“测得平均值多准?”
“测得结果多可信?”
主要误差源随机误差
(偶然误差)
系统误差
(恒定误差)
系统误差与随机误差的总和
统计特性
反映数据的分散度(方差、标准差)
反映数据的中心位置偏移(偏倚)
反映均方误差(MSE = 偏倚² + 方差)
可改进途径
增加平行测定、稳定环境、自动化操作、维护仪器
校准仪器、空白对照、使用CRM验证、改进方法原理
必须同时改进精密度和正确度
评估独立性
可在不知真值的情况下评估(只需重复测量)
必须已知参考值或真值
才能评估
依赖于正确度和精密度两方面的评估

准确度、正确度与精密度构成了一套层次分明、逻辑严谨的测量质量评价体系:

精密度关注结果的重现性,是质量控制的基础防线,通过重复性实验即可监控。

正确度关注结果的真实性,是方法是否科学的本质体现,必须通过比对参考标准来验证。

准确度是前两者共同成就的最终成果,是数据能否被采信的综合判决

对于分析方法开发者与使用者,厘清这三个概念具有重要实践意义:

1. 在方法开发阶段,应分别针对系统误差(提升正确度)和随机误差(提升精密度)进行识别和优化。

2. 在方法验证中,必须按照标准(如ICH)独立设计实验,分别获得精密度(RSD)和正确度(回收率/偏倚)的量化证据,共同支撑准确度的结论。

3. 在日常质量控制中,可通过重复样、质控样的精密度监控及时发现随机误差的扩大;通过有证标准物质或加标回收定期验证正确度是否偏移。

4. 在结果报告中,应避免笼统地称“方法准确”,而应具体报告“在XX浓度范围内,回收率为YY%至ZZ%,RSD小于N%”,这样的表述才科学、严谨、信息完整。

遵循这一概念体系,不仅能使分析工作更加规范,提升数据的国际可比性,更能从根本上指导我们持续改进分析方法,使测量结果无限趋近于“真值”。


声明:
1、凡本网注明“来源:小桔灯网”的所有作品,均为本网合法拥有版权或有权使用的作品,转载需联系授权。
2、凡本网注明“来源:XXX(非小桔灯网)”的作品,均转载自其它媒体,转载目的在于传递更多信息,并不代表本网赞同其观点和对其真实性负责。其版权归原作者所有,如有侵权请联系删除。
3、所有再转载者需自行获得原作者授权并注明来源。

最新评论

关闭

官方推荐 上一条 /3 下一条

客服中心 搜索 洽谈合作
返回顶部