立即注册找回密码

QQ登录

只需一步,快速开始

微信登录

微信扫一扫,快速登录

搜索
小桔灯网 门户 资讯中心 技术杂谈 查看内容

tNGS的路线之争:多重扩增or探针捕获?柳叶刀子刊给出“答案”

2024-9-6 14:32| 编辑: 沙糖桔| 查看: 3858| 评论: 0|来源: 有趣的胖子万里挑一

摘要: 检测产品的“路线之争”,最终都得回归临床场景




检测产品的“路线之争”,最终都得回归临床场景‍‍‍‍‍‍‍‍‍‍‍‍‍‍‍‍‍‍‍‍‍‍‍‍‍‍‍‍‍‍‍‍‍‍‍‍‍‍‍‍‍‍‍‍‍

——前言‍‍‍‍‍‍







感染NGS的路线选择,一直是热门话题。

在过去的很长一段时间,大家争论的是tNGS好还是mNGS好。

当随着tNGS竞争的进一步白热化,大家对产品差异化的追求让tNGS内部也产生了“分裂”,新的话题出现了:

tNGS,究竟是应该选“多重扩增”还是“探针捕获”?

最近,柳叶刀子刊发表了一项来自北京大学人民医院王辉教授团队和金圻睿合作的研究,在251例前瞻样本中头对头的比较了两种tNGS在下呼吸道感染(BALF样本)中的表现。‍‍

以我的水平,解读一篇文献那自然是.....不可能的。‍‍‍‍‍‍‍‍‍‍‍‍‍‍‍‍‍‍‍‍‍‍‍‍‍‍‍‍‍‍‍‍‍‍‍‍‍‍‍

但从其中的一些关键数据和可能的原因,我们依然可以对这个“路线之争”有一些更深入的理解。‍‍‍‍‍‍‍‍‍‍‍‍‍‍‍‍

多重扩增 or 探针捕获,tNGS的路线之争必须要“二选一”吗?‍‍

1. “静态数据”比较‍‍‍‍‍‍

2. “前瞻数据”比较‍‍‍

3. 所以呢?(不想看文献可以直接去文末)

PS:资料均来自公开渠道。如果咱两的理解不一致,那么你是对的。欢迎留言区指正。‍‍‍‍

01

“静态天赋”‍‍‍‍

文章中hc-tNGS=探针捕获,mp-tNGS=多重扩增。

两种tNGS的基础数据如下:

病原体覆盖上:

多重扩增tNGS覆盖198种病原体(应该是他们商业化的下呼198,听说马上要升级到225),对前瞻性样本致病菌的覆盖率是95%(245/251)。

探针捕获tNGS覆盖3000+种病原体,对前瞻性样本致病菌的覆盖率是99%(249/251)。

TAT时间上:‍‍‍‍‍‍‍‍‍‍‍

多重扩增是10.3h,而探针捕获因为多了一些实验步骤所以是16h。

临床收费上:‍‍

多重扩增和探针捕获的价格大约是mNGS的1/4和1/2,三者分别是120美元、300美元和500美元(单DNA)。

数字的绝对值参考意义不大,因为tNGS用的是金圻睿的,但mNGS用的微岩的。

这倒是K司的传统艺能了,上一次和中山医院在BSI中对比,也是用别人家的mNGS

但看个趋势还是可以的。‍‍‍‍

更多的静态天赋比较大家可以看下面这个表:‍‍‍‍

02

“前瞻对比”

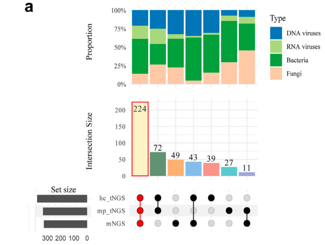
在251例的前瞻队列中,两款tNGS都基本实现了对金标准(培养)的“完美覆盖”

——培养阳性基本都能实现检出,对于培养阴性也能有较大概率检出致病菌。

CMT(比较方法学,包括了培养、圣湘的几款PCR多联检、GeneXpert MTB等等)总共有91例阳性,而两款tNGS一共在129位患者的样本中发现了致病菌。

受益于更广的病原体覆盖,检出率上好看了不少。

但确实谁也不能完全覆盖谁。

在检出能力上两款tNGS和mNGS共同检出的病原体是差不多一半(224/465)。

因为这次用的mNGS并不是都有RNA流程(部分mNGS因为处方问题仅做了单DNA流程),所以mNGS明显在RNA检测上吃了亏。‍‍‍‍‍‍‍‍‍

至于mNGS漏掉了很多的肺孢子菌则大概率是因为去宿主环节破坏了滋养细胞(不知道这是个性问题还是所有mNGS共性问题)

进一步拆分,多重扩增tNGS漏的最多的是厌氧菌。‍‍‍‍‍‍‍‍‍‍

这是panel选择的问题,K司的下呼吸道tNGS“忽略”了对于厌氧菌的覆盖‍‍‍‍‍‍‍‍‍‍‍‍

——主要是因为大部分厌氧菌是正常的口腔定植菌。‍‍‍‍‍‍‍

03

有“参考”没“答案”‍‍‍‍‍‍

以我的水平,我对文献能看懂的也就这么多了。‍‍‍‍‍‍‍‍

下面是文献原文,欢迎留言区补充和指正。‍‍

回到最开始那个问题

「tNGS,究竟是应该选“多重扩增”还是“探针捕获”?」

从这篇柳叶刀看,这个选择题可能并没有一个确定的答案:

如果说多重扩增捕获tNGS是小mNGS,那探针捕获更像一个中mNGS。

“尺有所短,寸有所长”,不同的临床场景需要不同的产品特性:

1. 不管是探针捕获还是多重扩增,tNGS的敏感性都挺好。

2. 在一些病原谱相对明确、简单的场景下(比如上呼吸道),更短的TAT和更简单的实验流程会更贴合临床的需求。多重扩增的tNGS可能是更好的选择。

3. 与之相对,在一些病原谱更复杂的场景下(比如BSI、下呼吸道等等),对病原体的更广覆盖和更强检测能力会更好的满足临床需要。探针捕获的tNGS可能是更好的选择。

4. 多重扩增的tNGS更考验产品团队的“选择”能力,在不同症候群的产品中分别覆盖哪些病原体极其考验对临床需求的理解。

呃,好像只有mNGS玩家受伤的世界达成了

但对于tNGS来说,其实最大的问题不是这两个路线之争,而是场景。

不管是10.3小时还是16小时,tNGS的这个TAT离门诊这个感染的最大市场,还是太远了。‍‍‍‍‍‍‍‍‍‍‍‍

通往胜利的路,还有很长一段要走。

‍‍‍‍‍‍


声明:
1、凡本网注明“来源:小桔灯网”的所有作品,均为本网合法拥有版权或有权使用的作品,转载需联系授权。
2、凡本网注明“来源:XXX(非小桔灯网)”的作品,均转载自其它媒体,转载目的在于传递更多信息,并不代表本网赞同其观点和对其真实性负责。其版权归原作者所有,如有侵权请联系删除。
3、所有再转载者需自行获得原作者授权并注明来源。

最新评论

关闭

官方推荐 上一条 /3 下一条

客服中心 搜索 洽谈合作
返回顶部