立即注册找回密码

QQ登录

只需一步,快速开始

微信登录

微信扫一扫,快速登录

搜索
小桔灯网 门户 资讯中心 检验杂谈 查看内容

【冯仁丰】Tietz 第7版的QC介绍(五)

2024-5-8 17:58| 编辑: 沙糖桔| 查看: 2139| 评论: 0|来源: 冯仁丰

摘要: 依据安排检测质量控制样品



Tietz 第7版的QC介绍(五)




1



依据安排检测质量控制样品



实验室操作典型地实施了两个类型的检测安排。批量处理检测一组临床样品,作为一批,在报告结果前完成了所有样品的检测。作为批过程,QC样品可以与病人样品一起检测,例如,多孔反应板,或在检测顺序系列的开始和最后检测,确保所有结果在报告前是正确的。

连续检测过程在较多样品场合下很常见,例如,自动化学分析仪或血液学分析仪,在病人样品被检测时,连续地报告结果,由于实验室在整个过程中定期地对QC样品检测。使用连续检测系统中,安排了如实施重新校准或保养,确保检测情况连续符合规范,和纠正了任何校准漂移或发生了成分失效。在这样安排做法前,检测了QC样品,可以让实验室证实,从检测了最后时间的QC样品以来,在结果中没有发生显著误差。如果,QC样品在这样安排中没有监护问题,实验室将不知道,是否报告了病人样品有差错的结果,自从最后的QC样品检测的时间,和安排的开始。

实验室主任使用了风险评估方式去确定,在实施进度前,何时应监测QC样品。例如,每天清理程序被预期保养检测系统处于良好的工作情况下,在出现事件前部要求QC评估。相反,一个保养事件,替换了将产生一个改变的检测系统,在事件前的QC评估仅是去确定,在事件前最后可接受的QC结果起,没有报告有差错的结果。在安排情况后应检测QC样品,去证实实施的操作是正确的,在重新开始检测病人样品前,检测程序性能符合了规范。

在连续检测过程中发生了故障,以至检测系统不可运行,该情况必须处理,由于一次QC失败,接着重复和确认已经报告的病人样品结果。要求有跟进措施,因为故障阻碍了检测QC样品,去确定是否从最后可接受QC评估以来,报告了有差错的结果。


2



建立质量控制靶值和标准差

代表了一个稳定的检测操作情况



建立QC靶值和可接受性能限值,使具有最适的可能性去检出一个足够大的检测失败,具有对临床诊疗决定的影响,同时消除了因用于评价QC结果指标统计局限性的“假性报警”。在统计参数被确定去建立QC的解释规则前,检测系统必须被正确地校准和操作,并在可接受的性能指标之内。在检测程序正常运行中,预期会发生一些检测变异的来源,可参见表6-2。检测变异包括在短时间内频繁发生的、许多变异呈正态误差分布,和中间和较长的时间区间的来源,可引起几天或数周内循环波动,在数周或数月的逐渐偏移、和结果中间歇性的突然小的偏移。用于QC解释规则的SD需要合适地代表结果中所有来源的变异,在检测程序按照指标实施的时间内预期发生的。(见表6-2)。

表6-2 检测变异性的常见来源


3



质量控制物质的靶值



一个QC物质必须具有可靠的靶值,代表系统尽可能小的偏移情况。这个条件要求检测程序被正确地校准。由于实际原因,包括检测变异的典型来源,将确保这个代表性的均值有数据计算而来。在实际情况下,表6.2的变异来源不代表及时可用下去建立靶值。因此,靶值具有不确定度,在检测条件波动下、随着时间的推移,要改善以反映预期的可变性。

靶值设定的一般可接受最低方案是,使用至少在不同的10天内检测得到的10个检测值的均值。在较长的时间区间内进行10次更多次检测,去包括估计靶值中其他重要的变异来源;

若可行,该10个检测值应代表多次校准,包括在靶值变异的来源中。在一个较长时间区间内进行了10次或更多次的检测,在均值估计中包括了其他重要的变异来源。如果QC物质使用超过1天,控制品应正确储存,并在物质准备用的许多天内检测,包括开瓶储存下引入的变异性,被包括在均值中。如果一个10天的方案不可能(如,如果一批QC物质的紧急更换是必须的),在几天内以少量数据建立一个临时靶值,但应在更多的重复结果可用下给予更新。

因为所有变异的来源不可能在10次检测中获取,在使用QC物质期间,建议有更多数据后去更新靶值。靶值也在试剂批号更换或其他检测条件改变下需要更新。在以后的试剂批号改变后内容中叙述的确认质量控制评价参数内容。


4



质量控制物质的标准差



SD是表达检测程序变异性的传统方式,并假设QC数据可以呈正态分布,尽管变异的非正态成分影响了QC结果。仪器的和实验室计算机系统的统计QC包,被设计为假设,正态分布的SD被用于QC规则的指标。因为检测变异性在整个时间内有非正态分布的成分,非常重要的是,它们被代表了用于估计SD的数据中,被用于作出结论,关于某个QC值的可接受性。所以SD必须是越真实越好,代表某检测程序在它的性能符合它的指标下预期的变异性。

当实验室确定了一个检测程序,引入了一个新批号的QC物质,新批号QC物质的靶值被与以往很好建立的以往批号的长期SD一起使用。这个做法因为在大多情况下,检测的不精密度是检测程序和使用的设备的一个性质,在改变不同批号QC物质时不像会改变。较少次数重复检测的SD,不应用于新批号的QC物质,因为它没有包括大多的变异来源,将低估了SD,因此引起失败的QC规则假阳性。在引用不同厂商的新批号QC物质时,有可能观察到的SD与以往值不同,因为基质差异,作为经验应监视和调整SD。如果新老批号的QC物质的靶值确实有差异,则需要一个不同的SD。假设在不同靶值浓度间的差异内,CV大致上是恒定的,则SD可以应用现有的CV为新靶值计算SD,然后转换为相应的SD值。因为有可能SD受一个批号QC物质的影响,随着新批号数据累积,有必要调整SD。

若引入新的检测程序,没有以往性能信息可用,在检测程序有效期间,使用得到的QC数据为稳定性能建立SD。建议至少在不同天收集至少20个结果,初始估计SD。不是在表6.2 中变异的来源,在初始评估SD中包括在内,这个SD看来小于较长时间内包括了大多的变异来源的估计。有些情况影响到检测的变异是可取的,特别在校准和保养中,包括估计SD的整个时间段。注意,试剂批号的改变不应包括在SD的估计中,因为QC结果经常人为地受不同批号试剂的影响(参见试剂批号改变后证实质量控制评价参数节)。CLSI 文件EP05提供了为建立检测程序SD的指导。注意,EP05没有包括较长阶段的变异来源,所以,这个方案低估了长期阶段的SD。

在新的检测程序替代现有的程序时,现有程序的SD在许多情况下被用来对新检测程序的SD估计。假设现有的检测程序与确保结果适合用于医学决定相应,该SD可用作新的检测程序QC决定的基础。这个方法适合在新的程序的初始估计SD小于老程序使用的SD。这个方法可允许SD的一个初始估计,与结果预期用于医学决定一致,直至为新检测程序得到充分的QC结果,包括了变异来源去估计新的SD,但不可能包括在确认新检测程序期间确定的初始SD。

初始估计SD将看来没有包括所有预期变异来源,将需要更多的QC数据可用。SD的估计可在不同时间阶段的检测条件而异,较长时间阶段得到较稳健的值,包括大多变异来源。

代表稳定的检测性能的SD,通常来自在超过6-到12-个月期间累积SD的估计,理想地是单一批号的QC物质和试剂。图6.6说明了SD的波动,在每月计算的SD与6个月阶段后相对稳定值观察的累积SD。注意,累积SD不是每月值的平均水平,而是从一批QC物质开始使用以来的整个随时间阶段得到的所有各个结果确定的SD。在使用检测程序期间的在不同时间发生长期变异的不同来源。每月SD不适合反映变异的较长阶段的组分。因此。累积SD典型地大于每月值,因为它包括了更多变异来源(见表6.2)和较好地代表了检测程序实际的变异。如果在正常稳定操作期间预期的SD被低估了,QC结果可接受范围将太小,假性报警率会不可接受地高。如果稳定条件的SD被过度估计,则可接受范围将太大,显著检测误差或检测不出。

图6.6 累积标准差(SD)与图6.9数据计算的单个月值的标准差。

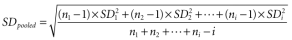
可以将多批QC物质或多个试剂批号的数据综合起来,使用统计混合方法得到长期估计的SD,代表了检测程序中的大多来源的变异。例如在QC产品的稳定性被限制了,而在一个预期的检测阶段单批QC物质不可用,或试剂稳定性被限制,一个新试剂批号必须经常使用。参见后面章节“试剂批号更换后证实质量控制评价参数”,解释了为什么QC结果可以被人为地被试剂批号改变受影响。混合数据得到一个SD,要求分别确定每个稳定区间的SD。然后每个稳定去就按的SD可以使用下列等式综合,式中n是在某个给定时间区间内QC结果的个数,从1到i。

很重要的是,要包括在计算SD时所有有效的QC结果,以确保该SD正确地代表了预期的检测程序的变异。一个有效的QC结果是,在初步值的设定情况下,用于验证可接受的检测程序性能,和支持报告病人结果。仅仅在QC结果负责不可发送病人报告的数据,应被排除的汇总的计算内。


5



具有定值的质量控制物质



检测程序厂商提供了具有预设靶值和可接受范围的一些QC物质,预期可确认检测程序符合厂商的指标。这样设定的值可用于验证厂商的指标。但是,建议靶值和SD二者应由实验室得到适当的重复检测结果后重新评价和设定靶值,因为用于单个实验室的QC解释规则,应反映在该实验室内的检测程序性能。由厂商建议的可接受限值(产品说明书的范围)典型地考虑了如仪器间、试剂批号间、和校准品批号间的变异的来源,将会大于在某个实验室内预期的变异。使用产品说明书范围太大,将减少实验室检出一个错误的检测情况的能力。对POC设施这经常是问题,厂商与设定限值必须被用于,那些可减少检出误差的可能性。一个实验室可安排更多的QC检测,但这样的方式会被一些技术所限制。

具有设定靶值和SD的QC物质,也可来自第三方厂商(即,厂商没有附属于检测程序的厂商),典型地具有的值应用到特定规定的检测程序,适应不可互换性的影响。由第三方QC物质提供者设定的靶值和SD在使用中须注意,因为靶值设定时仅是很少数量的检测,使用的试剂和校准品批号不再可用。SD将不适合用于QC可接受的规则,因为它们没有反映各个实验室内的检测情况。特别要关注的是,例如,如果一个厂商设定的SD大于在实验室观察到的,则QC结果的可接受限值将会太大,错误的检测条件不会被相应地证实。一些QC物质提供者承诺实验室间比较的计划,参加者将QC结果上交,与其他实验室综合,这样的实验室间汇总数据 类似于EQA/PT计划的数据,可以对实验室将它们的靶值与使用相同检测程序和相同QC物质批号的实验室组比较(参见实验室间评估或能力验证试验节)。综合的QC数据的组SD,不合适用于各个实验室,因为该值不反映在某个实验室的条件。综合QC数据的SD看来要大于某个实验室的SD,引出QC结果可接受限值太大,对有差错的检测情况不能被相应证实。



未完待续...




转载请注明出处

微信公众号:冯仁丰


声明:
1、凡本网注明“来源:小桔灯网”的所有作品,均为本网合法拥有版权或有权使用的作品,转载需联系授权。
2、凡本网注明“来源:XXX(非小桔灯网)”的作品,均转载自其它媒体,转载目的在于传递更多信息,并不代表本网赞同其观点和对其真实性负责。其版权归原作者所有,如有侵权请联系删除。
3、所有再转载者需自行获得原作者授权并注明来源。

最新评论

关闭

官方推荐 上一条 /3 下一条

客服中心 搜索 洽谈合作
返回顶部