首先谢谢凝血检验相关的各Q群、微信群、论坛及朋友圈中同行的热心参加,使得这次参与实验室数量较多、有充分多样性的调查能够快速地完成(4天内),这在社交网络尚未兴起的过去是难以想象的。当然,同样是由于网络调查的原因,结果的准确性存疑,不过我们的目的不仅是了解凝血常规检验参考值、危急值设置的现状,更希望通过调查引起参与者对相关事项的重视,促进凝血检验标准化。本次调查一共收到有效问卷100份,来自至少24个省/直辖市(根据IP地址)的实验室,以下是数据统计及分析,有些是个人意见,供参考。
一、参考区间调查结果及分析
参考区间的数据根据不同试剂品牌分别统计,参与调查的试剂品牌分布如下:

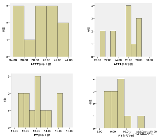
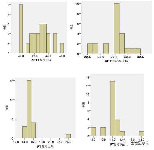
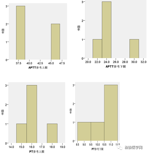
不同品牌试剂中凝血酶原时间(PT)及活化部分凝血活酶时间(APTT)的参考限中位数及其频数分布图如下(n为实验室数):

IL试剂(n=12):

Siemens试剂(n=30):


STAGO试剂(n=24):

上海太阳试剂(n=18):

赛科希德试剂(n=7):


普利生试剂(n=5):

上海长岛试剂(n=3):


ISO15189应用说明及CAP的Checklist均建议对凝血时间项目在更换试剂批号时重新验证/确定参考区间,这表明因凝血时间项目缺乏公认标准物质(标准程序),不同品牌的检测系统间参考区间各异,即使使用同一检测系统也不存在绝对稳定的参考区间。我们的调查问题在这一点上显得不够合理,而且只考虑了试剂的区别,这或许是结果差异较大的原因之一,但也提醒我们:无论是否使用同品牌试剂,引用其他实验室或厂家的参考区间存在风险,建立并持续验证实验室自己的参考区间是最可靠的。
下表是通过搜索中文数据库找到的近几年包含凝血项目参考值数据的中文文献,可以与本次调查的统计数据对照看一下。研究都是基于中国人群,但所有文献仅包含三种品牌的试剂(及配套系统)。其中有的试剂差距较大(即使使用同型号血凝仪),可能与个别研究纳入的人群不合适有关。
2009-2015年 含凝血参考区间数据的中文文献列表

二、危急值调查结果及分析
危急值的调查不区分试剂品牌,PT、APTT、国际标准化比值(INR)及纤维蛋白原(FIB)这四个项目的危急值中位数及其频数分布图如下(n为填写的实验室数):



危急值的调查结果也较为离散,即使是在检测系统间可比性较好的INR和FIB这两个指标上。由于目前没有明确的标准,一般建议实验室与临床科室共同协商确定合适的危急值,当然最好是有依据的。
下表是2011年在北美凝血特检实验室协会(NASCOLA)的成员实验室中进行的危急值调查 (Am J Clin Pathol 2011; 136:836-841),设置危急值最多的三个项目依次是:APTT、FIB和INR,很少有实验室设置PT的危急值,因为INR值对检测系统的依赖性更小。考虑到在国内并非所有临床医生都熟悉INR值,设置PT的危急值仍有必要,但建议根据INR值来确定PT的危急值,当实验室更换检测系统时,INR的危急值可不变,但PT危急值可能需要重新确定。

NASCOLA的调查结果表明APTT、FIB和INR的危急值中位数分别为100秒、1.0g/L和5.0。从我们的调查来看,国内实验室的危急值设置普遍比北美保守。欧美实验室APTT和INR的危急值主要是基于以往抗凝药物相关临床试验的出血风险评估结果,通常APTT超过100秒或INR超过5.0分别提示普通肝素或维K拮抗剂过量,可能需要调整剂量或应用逆转药物,而国内较为保守的危急值设定是否基于可靠的临床研究尚不得而知(哪位有资料还望提供)。此外NASCOLA的调查也提到,实验室需要考虑不同检测系统APTT的差异,建议通过评估APTT与抗Xa活性的相关性来确定合适的APTT危急值,例如将抗Xa活性1.0 U/mL对应的APTT值作为危急值。
少部分实验室(5.0%)设置了D-dimer危急值(分别有 >5.0、>15.0或>20.0 ug/ml)。目前关于D-dimer水平与(静脉)血栓风险相关性的研究均是基于某个特定人群(如疑诊静脉血栓的门诊患者、术后、妊娠、肿瘤等等),确定一个适用所有人群的危急值不太可能,而且在基础疾病各异的患者中,相对于单次的D-dimer结果,监测其水平变化可能更有价值。当然,针对特定临床科室或特定患者所建立的D-dimer危急值或许是有意义的,这需要相关科室与实验室共同商定。
三、 延长纠正试验调查结果及分析
调查问卷最后一个问题:你的实验室是否开展了APTT延长纠正试验?若开展了,则1:1混合血浆的判断阈值是多少。 统计结果如下: 
开展了APTT延长纠正试验的实验室仅占17.4%,该试验对于初步评估APTT延长的原因很有意义,而且不需要特殊试剂,相信在国内还有很大的开展空间。不过正确开展该试验的要求并不低,正常混合血浆的制备、合理的检测流程、纠正阈值的确定及结果解释等都有一定难度,且目前仍缺乏公认标准,本次调查中,开展该项试验的实验室虽不多,设定的纠正阈值类型却达5种之多。
下图是一篇综述中[Geoffrey Kershaw et al, Seminars in Thrombosis and Hemostasis, 2013, 39(3):283-290],对几种纠正阈值判断(因子缺乏/抑制物)准确率的评估。尽管尚不能确定哪种判断方法最佳,以ICA<11%(即Rosner指数<11)作为纠正阈值是目前文献中较为推荐的方法,因其受检测试剂类型、正常混合血浆的影响相对较小。无论选择何种判断方法,不要忘记收集标本进行验证,应有明确数据支持你的选择。

最后总结一下本分析报告:
1.使用同品牌凝血试剂,项目参考区间仍可能存在较大差异,原因可能是多方面的,建立并持续验证实验室自己的参考区间是最可靠的方法。
2. APTT>100秒、FIB<1.0g/L和INR>5.0(及相应的PT值)是北美实验室较为推荐的凝血项目危急值,而国内的危急值设置总体较之偏保守(中位数分别为APTT>70秒,FIB<1.0g/L和INR>3.5),是否有可靠的证据支持尚不明确。各实验室应与临床科室共同确定适用于本医院的危急值。其他凝血指标不建议设置针对普遍人群的危急值。
3. 建议开展凝血时间的延长纠正试验,纠正阈值的确定应经过验证。
|